SPECYFIKA POŻARU I WŁAŚCIWOŚCI STALI
Stal kojarzy się z wyjątkową wytrzymałością – w końcu z niej powstają mosty, wieżowce czy też hale przemysłowe. Wydaje się więc, że ogień nie stanowi dla niej zagrożenia, bo przecież stal to materiał niepalny. Problem tkwi jednak nie w spalaniu, ale w zmienności właściwości mechanicznych tego metalu pod wpływem przyrostu temperatury. Uwagę należy poświęcić również kwestii związanej z rozszerzalnością cieplną stali. Jeśli badany element nie ma możliwości swobodnej realizacji odkształceń termicznych, koniecznym staje się wyznaczenie dodatkowych sił wewnętrznych.
Do obliczeń stanu granicznego nośności ogniowej elementów konstrukcyjnych znajdujących się wewnątrz budynków, przyjmuje się wyidealizowany scenariusz rozwoju pożaru. Opisywany jest poprzez monotoniczną krzywą standardową rozwoju. Specyfikuje ona przyrost temperatury gazów spalinowych, odniesiony do upływającego czasu. W sytuacji rzeczywistej, przy dostatecznej ilości paliwa, może dojść do rozgorzenia pożaru. Jest to sytuacja, w której ilość dopływającego tlenu jest równoważna jego ilości absorbowanej w procesie pirolizy, temperatura gazów spalinowych utrzymuje wtedy wartość stałą. Przyjęcie krzywej nominalnej rozwoju pożaru wyklucza zajście tego zjawiska, ze względu na opisywany przez nią, nieskończony w czasie przyrost temperatury. Przedstawiono poniżej wykres opisujący zależność temperatury stali od czasu, dla nieosłoniętego oraz nie galwanizowanego pręta ze stali węglowej o przekroju HEB180. Analiza kończy się po 60 minutach ekspozycji na warunki pożarowe, a obliczenia prowadzone są z krokiem iteracyjnym wynoszącym 5 sekund.
Załamanie przebiegu wykresu temperatury stali zwykłej, obserwowane w około 723°C wynika z faktu zachodzenia w tej temperaturze przemian fazowych stali. W przypadku analizowanego materiału, dochodzi wtedy do przemiany ferrytu w austenit a w efekcie do wzrostu wartości ciepła właściwego stali.
(granica plastyczności w podwyższonej temperaturze) (1)
(moduł sprężystości w podwyższonej temperaturze) (2)
Moduł sprężystości zaczyna ulegać redukcji od 100°C, natomiast granica plastyczności dopiero powyżej 400°C. W temperaturze z przedziału (500°C ; 600°C) ugięcie wzrośnie dwukrotnie, a wytrzymałość zmaleje aż o ponad 50%.
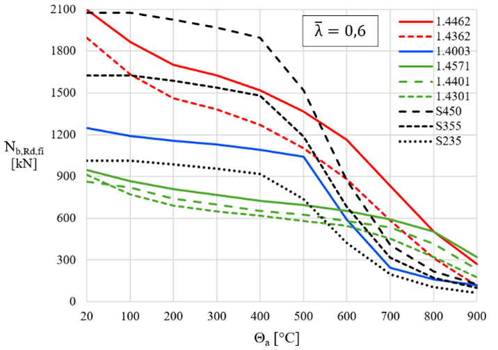
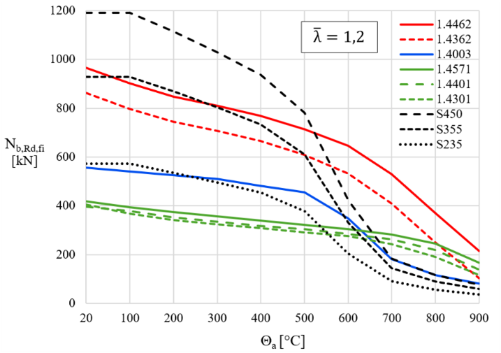
Rys. 3 (nośność słupa o przekroju HEB180 w zależności od przyjętej temperatury i gatunku stali konstrukcyjnej, od lewej: słup krępy, słup smukły)
CZAS KRYTYCZNY KONSTRUKCJI STALOWYCH
Czas krytyczny, przez jaki elementy konstrukcyjne będą w stanie bezpiecznie przenosić przyłożone obciążenia, jest zależny od przyjętego scenariusza rozwoju pożaru oraz od specyfikowanej temperatury krytycznej, kojarzonej z osiągnieciem stanu granicznego nośności ogniowej. Dla nieosłoniętego, nagrzewanego ze wszystkich stron, słupa o przekroju HEB180 i stopniu wykorzystania wiodącego warunku projektowego wynoszącego 95%, temperatura krytyczna zostanie osiągnięta zaledwie po 14 minutach ekspozycji na warunki pożaru.
ZABEZPIECZENIA PRZECIWOGNIOWE KONSTRUKCJI
Aby spełnić wymagania normowe, niezbędnym staje się stosowanie różnego rodzaju zabezpieczeń przeciwogniowych. Zastosowanie izolacji skrzynkowej z wełny skalnej grubości 20mm dla opisanego wyżej przypadku, poskutkuje wydłużeniem czasu krytycznego aż do 70 minut (spełniony zostaje warunek nośności R60). Izolacje ogniochronne dzielimy na skrzynkowe oraz konturowe. Do izolacji skrzynkowych zaliczamy różnego rodzaju płyty okładzinowe, natomiast izolacje konturowe stanowią farby pęczniejące (nakładane ręcznie czy też agregatem). Doświadczeni konstruktorzy w analizach pożarowych pod uwagę biorą również wpływ warstwy cynkowej, która redukuje początkową prędkość nagrzewania elementu. Warstwa cynku chroni element przed przejmowaniem ciepła poprzez promieniowanie, lecz tylko do ok. 500°C, kiedy cynk rozpoczyna zmianę stanu skupienia.
Rys. 4 (deformacja blachownicy pod wpływem stałego obciążenia i zmiennej temperatury)









